Red Paper
Contact: +91-9711224068
International Journal of Fisheries and Aquatic Studies
  • Printed Journal
  • Indexed Journal
  • Refereed Journal
  • Peer Reviewed Journal

Impact Factor (RJIF): 5.9
P-ISSN: 2394-0506, E-ISSN: 2347-5129
Peer Reviewed Journal

International Journal of Fisheries and Aquatic Studies

2019, Vol. 7, Issue 6, Part C

Efficacy of clove oil and benzocaine as anesthetics for Protopterus annectens (Owen, 1839) (Acanthopterygii: Protopteridae)


Author(s): Djiman Lederoun, Imaculé S Baglo, Eliane de Pedicepuis, Armel Gougbedji, Mohammed NA Fagbemi, and Philippe A Lalèyè

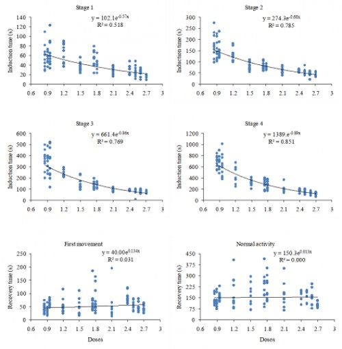
Abstract: One of the most important in aquaculture is the anesthesia of fish to facilitate their handling. That is why many experiments have been carried out with that goal in mind for species. But for those to be introduced in fish farming, a foundation still needs to be established. That’s the case of the African lungfish Protopterus annectens on which two anesthetics, clove oil and benzocaine, were tested. Pure clove oil was diluted directly in water to obtain concentrations of 0.1, 0.2, 0.3, 0.4, 0.5, 0.6, 0.7, 0.8, 0.9 and 1 ml per liter of water For benzocaine, the solution obtained by diluting 100 g of powder in 1 L of alcohol was further diluted in water to obtain concentrations of 0.85, 0.9, 0.95, 1.2, 1.5, 1.8, 2.1, 2.4, 2.5, 2.6 and 2.7 ml L-1. The experiment consisted in placing a fish in a container filled with water containing a specific concentration of the anesthetic of interest. The time taken by the fish to reach each stage of anesthesia was then timed. This procedure was repeated ten times for all treatments. In order to determine the recovery time, the anesthetized specimen was transferred to a container filled with only plain water. The fish used for the experiment are wild specimens acclimated for four weeks with an average weight of 50.3±5.5 g and an average size of 22.1±0.4 cm. The results show that clove oil is the most suitable anesthetic for African lungfish and performs better than benzocaine as it is effective at lower concentrations. Recovery time of the equilibrium position is significantly longer with clove oil than with benzocaine. The optimum concentrations are between 0.6 and 0.9 ml L-1 for clove oil and between 1.8 and 2.6 mlL-1 for benzocaine.

Related Graphics: Click here for more related graphics:

Induction and recovery times (s) relation to benzocaine concentrations for <em>Protopterus annectens</em> (n=10 for each trial).
Fig. 1: Induction and recovery times (s) relation to benzocaine concentrations for Protopterus annectens (n=10 for each trial).
Induction and recovery times (s) relation to clove oil concentrations for <em>Protopterus annectens</em> (n=10 for each trial).
Fig. 2: Induction and recovery times (s) relation to clove oil concentrations for Protopterus annectens (n=10 for each trial).


Pages: 203-209  |  2085 Views  668 Downloads

Download Full Article: Click Here



International Journal of Fisheries and Aquatic Studies
How to cite this article:
Djiman Lederoun, Imaculé S Baglo, Eliane de Pedicepuis, Armel Gougbedji, Mohammed NA Fagbemi,, Philippe A Lalèyè. Efficacy of clove oil and benzocaine as anesthetics for Protopterus annectens (Owen, 1839) (Acanthopterygii: Protopteridae). Int J Fish Aquat Stud 2019;7(6):203-209.
International Journal of Fisheries and Aquatic Studies

International Journal of Fisheries and Aquatic Studies

Call for book chapter
International Journal of Fisheries and Aquatic Studies